上次講到音樂錄音棚聲學設計的第二個考慮點——混響時間,這次主要講第三個考慮點——聲擴散。
(3)聲擴散
在自然混響音樂錄音棚內,聲擴散是至關重要的,棚內的聲擴散不僅可以獲得均勻的聲場分布,從而使樂隊演奏的聲音均衡和融洽,同時可減少錄音師為選擇“最佳”拾音位置所帶來的麻煩。

棚內的聲擴散程度,目前較為一致的評價值是水平位置的方向性擴散,它定義如下:
d=1-m/m0
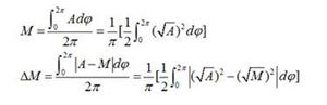
式中,m為棚內實測的傳聲器方向特性,m=△M/M;m0為該傳聲器在自由聲場(消音室內)條件下測得的方向特性。

式中,
為水平方向測得的0°~360°方向特性曲線所圍成的面積。由上式可見,擴散值均小于1.0,d值愈大,表示各方向接受到的聲壓接近相同,擴散愈好。對于錄音棚來說應爭取接近于1.0的d值。至于獲得聲擴散的具體措施,通常有下述幾種方法:
1、選用有利于聲散射的不規則形體;
2、在平、剖面的各界面(地面除外)設置各種不同尺度的擴散結構,其中以球切面為最佳形式,其次是圓柱形,多變狀椎體和三角形柱體等;
3、在不規則形體的個別界面配置擴散結構,對獲得聲擴散更有效。
這次講到錄音棚聲學設計的第三個考慮點——聲擴散。
歡迎來電咨詢:0757-88048577
佛山諾聲聲學裝飾材料有限公司是一家提供隔音板、吸音材料等聲學材料銷售、聲學設計及施工一站式服務的企業。為保證產品質量,工廠引進德國進口機器,進行加工作業。采購吸音板,就找佛山諾聲吸音板廠家,吸音板價格實惠,品質保證。
未完待續~